Resident News:

Public Notice: Written quotes for driveway replacement at 78 Third Street due May 1, 2026.

View Notice

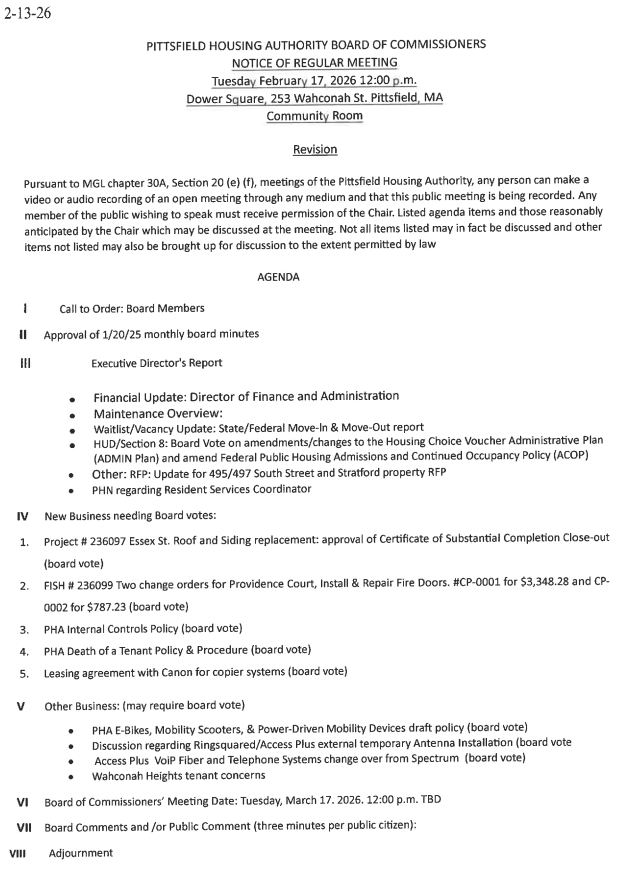
Notice of Regular Board Meeting – Revised

Written by

Patricia Stottle

Published on

Back to NewsUncategorized
notice of board meeting revised

Need Assistance? We’re Here to Help.

Whether you have questions about housing programs, maintenance, or general services, our staff directory makes it easy to reach the right person.